set-car! と set-cdr! でリスト構造を変更することができるよ!!というおはなし.
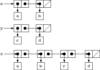
append と append! が以下のように定義されているとき,
(define (append x y) (if (null? x) y (cons (car x) (append (cdr x) y)))) (define (append! x y) (set-cdr! (last-pair x) y) x)
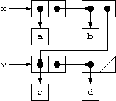
(define x (list 'a 'b)) (define y (list 'c 'd)) (define z (append x y)) (cdr x) ; (b)
こうなるのは,append だと x の内容が変更されないから.

(define w (append! x y)) (cdr x) ; (b c d)
もちろん,append! だと x の内容そのものが変わるので,出力も変わる.
